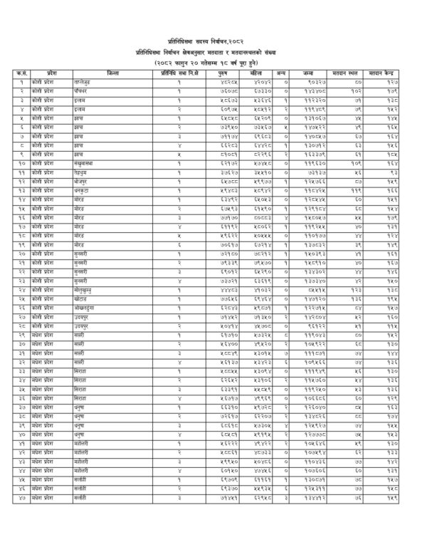
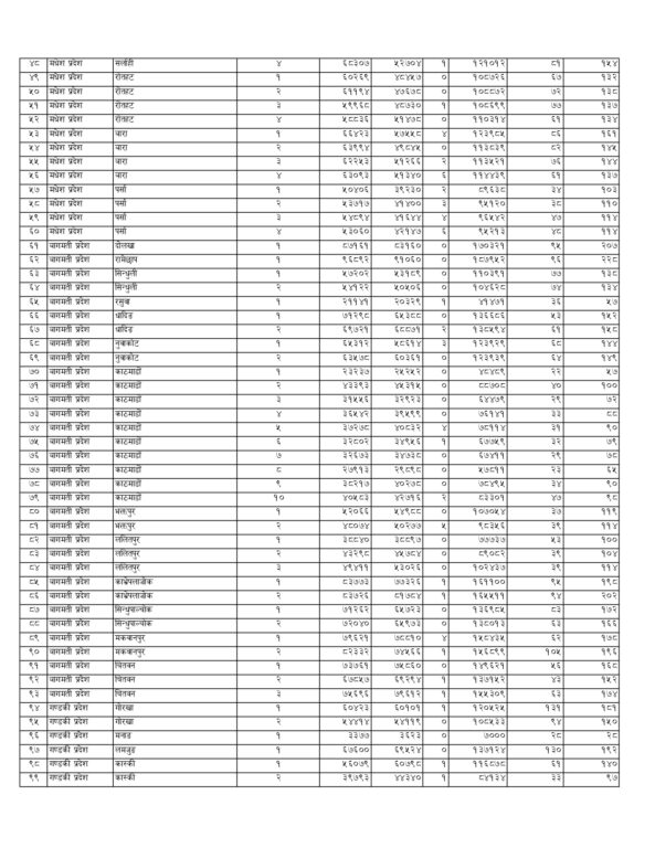
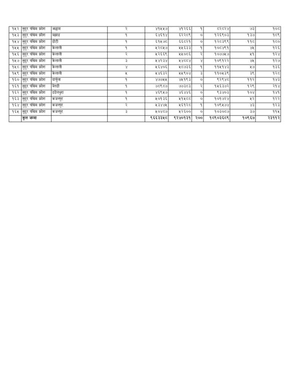
काठमाडौं । आगामी फागुन २१ गते हुने प्रतिनिधिसभा सदस्य निर्वाचनमा कुल एक करोड ८९ लाख तीन हजार ६८९ मतदाता कायम छन् । निर्वाचन आयोले मंगलबार क्षेत्रगत रूपमा मतदाता संख्याको विवरण सार्वजनिक गरेको हो ।
देशका १६५ निर्वाचन क्षेत्रमध्ये रामेछापमा सबैभन्दा धेरै एक लाख ८७ हजार ९५२ मतदाता छन् । त्यसपछि अर्घाखाँचीमा एक लाख ७१ हजार ६५२ मतदाता छन् । सबैभन्दा कम मनाङमा सात हजार मतदाता रहेका आयोगले जनाएको छ ।





प्रतिक्रिया